[無料ダウンロード! √] [KnC V_ß ¯^ 250218
} s ^ I _ c °0è ¹3û ¸ « º b w9 L Æ @4Ä x I r M 8ª r >04 6ë 0è9 $ r >2H % ù z Ò º l z A° I S F b v 8 ` K c 2N ° I S'F b s > v 8 S K r M b !l ² N'F l > â U C T I 8 q ¡ Þ ª µ º V& > M < > r H2N ° ì H s v 8 ` I F é G X F'¼ >& > ?
A Ln F I Fp Ss Om W Pdw T M Nd Tim K Knd Kv Xo Ia T A Tim Gn I Sfov Ss P Th Wp Tkm Md
[KnC V_ß "¯^
[KnC V_ß "¯^-} æ I S " ) X è V M d É ß ¢ Û Ò Â#Ý&É% c 4E ¥ K S É ß ¢ Û Ò _ W Z æ I Z 8 "I f1n*O$ í% " ) @ ² 6 p \ ¾1 2 ö&O Ñ4E ¥ p \ ¾1 2 è Ñ//discordcom/channels/ ️ discord ️https//wwwrobloxcom/users/ ️roblox ️



Why Do Gases Have Two Specific Heats Of Cp And Cv While Solids And Liquids Have Only One
Õ v Ü8 @ ¡ ß «2 ~ b K%T c @ ( _ !ñ K Z ?N 4 K Z 8 A r M HÎ Ü Hû Û Ò _ > 8 Z c HÍ S 6Û M *ñ b ö &O \ ^ M 8ô M *ñ \ HÍ) í) &k 6õ 4 (5 b X # í ¹ I ± § å « M *ñ b ì HÍ ¢ ß I Â Ý Ç ¦ *ñ B _ ¥ E S Û 4 5) % æ K r M HÎ #ã 7 µ Ò º Ø HÍ Û » í Û #Õ #Õ q ¸ \ 8 S K r M HÎ ¥ ß ¼ & b ± Û #Õ q v § º % \ ^ ~ r K S HÎ Ò Û b 5 c N N P 8 V F rI 5 µ L M L q 8 u ´ g Ø < £ ⁄ Ø?
> M } ¹ > > > > > q !C m 4) v 8 ^ 8 "g # @)F A r K S HÎ M ( v å Û å M ¦ b 8 B _ 3ã r K S HÎ &Å Û \ ^ ~ HÍ ¤ "g # _ v ~ r M @ HÍ Hú å Ã « b 'g U ° ~ D 7H v ^ C ^ ~ HÍ å Û å \ P 8 G #Ý K S M *ñ @ > G ^ Z 8 r M HÎ Hú å Ã « v a K _ B 8 v ~ ` K Z 8 r M HÎ º ¥ ß ¼ b ¤ _ 6õ K Z c HÍ ¹ I ± § å « Û 4 v Û e $× ^ %Ê '2 4 u Z 8ä Ł u U J ‡ ' ¶ l A T U ‰ ý ˘?
³ 2 h y á S O v o O q >/ º ¥ ß ¼ Ý « ¤ $U P'Ç _ X 8 Z Ç#ã#ë c \ í%4 b » Û å'¼ 2Ã r < Â £ í £'z í#Õ b ó I have downloaded php file of a website through path traversal technique, but when I opened the file with notepad and notepad I only get encrypted text IsC å É A ç ˇ Ł J B º ‰ {Ł G É „ u Ø – ?



Enhancement Mode Ga2o3 Wrap Gate Fin Field Effect Transistors On Native 100 B Ga2o3 Substrate With High Breakdown Voltage Applied Physics Letters Vol 109 No 21



2
í H* b ¼4( ( *"@ v K C c / ®'¼ b ß "@2A _%$ K0 S ö @9× 8 í H* >&& >' b ¤ 6ë _ K0 K S* b U b( V _0ñ \ M * H* >&& >' \ 6 8 c6× ì6ë b K0 >&34 Æ ß'5 µ Æ'¼ µ t>' @ 6 W S* 4 ) ^ ¤ 751¤ ^ K _ H* >&& >' 0Ç 9 %31¤ v K C c Ó1¤ K Z 8 S* H* >&& >' b ¼4( ( * ® v K C c / ®'¼ b ß "@2A _%$ K0 S ö @9× 8* í Q b Ú>8 m 0 G \ b ¶ 2¥7³>&% ó \ K Z Ó î º Ý8 N b É ß ¢ Û Ò 4E ¥ K S v p \ N ¾ *f è> ë b p ?ë » H K J N ^ V { V ¥ C ñ ® N Q º Ô * â % Ý ô J f Æ * # % A Í ¹ Þ Ã J '



Answered A Cmos Inverter Shown In Figure Below Bartleby



B For The Given Bjt Circuit Find The A Ve B Te Chegg Com
K < C B '?>4 v>0 ¥>& È>' _ º ¥ ß ¼ Ý « b7g ö o  @ S v b M \0ñ ( c >3 v>0>7 ¥>& u>' r Å » K Q b c Å » K Z > } N #' ~ c d3 ú d æ&g b 0¿ _ Z$ª8ô K Z > ~ r M "&k l g \0ñ6õ &k \ 8 S K r K Z c d3 ú d'¼ \4 W ~ ^ @ } \0ñ ( \ K0 b b 6 ( _ P M >N>A>P è b b& 1 r S Q#Ý4 ( b '¼ b P'Ç K Z > ~ >N>A>P è b) Ý ² ( 7\ ö 6 G \ @ 8  K Z > ~ r M æ b$Ù l g > v , c L u \ M 6õH % ù q o z 9 ;



Pdf Kvac Key Value Commitments For Blockchains And Beyond Semantic Scholar



Beta Turn An Overview Sciencedirect Topics
 ¡  ¹ & O µ O µ Æ ² ¾ ¦ å c Ö Â ¨ ¥ 2 ® Ý ³ ¾ ª å à º » ¸ Ý ® É ^ Ê Ó ¨ ì k å É Ç c § ¹ Å ¦ Ý ² ç Ù ¶ î § ß ç æ ß æ Ô ¨ í ² ¾ ¦ å Ã Õ µ î  ½ Ð Æ ² Á ¨ º à ì Ù ´ > r Æ r ×0 V É g n a a ù T ¸ % ù g ú ¿ ß % Â Ê b e í O L S % Æ î £ æ ® à  O N 0 Æ O G É M K É Á G í ï ª ² ½ æ Ã É x • P N O V 0 M K É î f ý Ê b E m c Æ ã å T L S u A à ¾ ° ç b E m c É ¨ ª § Æ Ë à ² Á æ ® à § " ä ¦  æ Ã É & • & ´ ® à í 3 •C Q _ V k z k a 4 ¥ g V l & C Q ¯ u ù * 7 ô B ¯ 7 03D C Q ' Ñ % ô K ó Í Z Å K B Q & > f T ¡ u a k C N d Q û e B « ¾ q ` ë Å ù 8 C B ~ C 7 8 * G I / × ÿ = / ÷ 7 ¤ Þ 7 7 f 7



Beta Binomial Distribution Wikipedia



Letter Wiktionary Latin Alphabet Ss Q W E R T Y U I O P A S D F G H J K L Z X C V B N M English Text Logo Png Pngwing
H % ù l ¡ ß V s í A O ´ C n 6 O O ù ó 7 Â K c 3 ² n t K j B K j ;½ /$× ^ 8 @ r b v G b>7 v Ò º c ¥ ß ¼ ¤ £75 b S u _ e ì& c / Æ b s / 8 r M g Õ \ î Ç v 8 \ î 8 r M @ s ?\&k 0 V68® i L s5 Ñ ø"â%4 i L s5 w,Q6ë #Õm w 723,Q6ë Ñ Æ _ Å » K Z 8 ( @ º ¥ ß ¼ Ý «>N>A>P è b) Ý 7g ö 6 G \ @ 8 Â 8 S K r K S \0ñ ( c Å » p Ð « ¡%T#Ý > g m æ u S b è '¼ K S r S \0ñ ( b » ¸ \4 6Û c Q R $ ^ ~ Ñ Æ > g Ñ ¥ _ > 8 Z Ú ( @ ð L K0 M 8 '¼ c H J 8 r O K S %6ë _7g ö* @$Î#Õ K S G \ ?



Kncv Tuberculosis Foundation Home Facebook



Canonical Ensemble Partition Function Z Ppt Download
T k z 7¼ PP¼ ;½ /$× ^ è P1ß* b ¤ b$2 8 _%T% K Z/ è c ^ 8 S u ð L K0 * \ K Z v ~ G \ \ c K ^ 8 G \>& ¥6ë b ú ã0{ 9 b P1ß \ c K ^ 8>' \ K Z > ~ r M G b è P1ß* c ú ã0{ 9 b P1ß ¥ 6 ~ $ª í Ó1¤ ¦* c , A)F A » _ ¦ A G \'¼ &g K Z > ~ r M b H g* W I 8 $ª µ6õ 9×à ² Á ' Ý !



A Ln F I Fp Ss Om W Pdw T M Nd Tim K Knd Kv Xo Ia T A Tim Gn I Sfov Ss P Th Wp Tkm Md



B Wiktionary
Inscrevase para o canal crescer e nÃo esqueÇa de deixar o seu like e ative o sininho!!!!º ¥ ß ¼ Ý « _ ¤ K Z 8 G \ @ 8 ´ K r K S \0ñ Å »* c /1* Y, $ª µ6õ w0Ç K >N>A>P è K S \ G 7g ö o  @& 1 I r K S \0ñ Å »* c >6 v>0>/ ¥>& u>' ~ » K Z > ~ r M ¤ * @$Î#Õ K S*> ð ,q Ñ _ > 8 Z c #' ì!l è W b P  v W Z > ~ r M í d3 b ú d'¼ b6õ µ6õ \4 K Z \0ñ Å »* b/ T \5 Ü Æ ¥ b ð L K0 * b1* í*> ð ,q Ñ Æ b 8 b *> ð ,q Ñ c 3û > ~² Å § ä Å É Â r ´ C  A s à w ¨ I Ö Ä I Ö c ¼ Á v O ´  ٠² º x !



2



Beta Distribution Wikipedia
160¼ j æ b ¤ 1 D Þ Ë Ý >3 _ , A V F º ¥ ß ¼ Ý «"I 91 é $Î K r M ç ô>1 º>6 v ¥ >/ ¤ b"g #'¼C ⁄ – N ¥ K ƒ Y § ˝ ¤ ' " « S k ß K § » c fi P m 7 # m ⁄ n _ ˛ ˘ L k D 7 Ó o — ~ # E p y m ' q k ˝ ' C 7 Œ £ J fl Ł ˝ ˘ fi l 7 t u ⁄ r s ˝ ˘ fi ˛ ˝ • k / 4 × 7 t O 4 ˘ u v F G H 7 — ´ w ' ‚ „ " ˛ ™ ' 7 7 ´ x y — 4 W z » ˘ H 7 N ¤ ß { ß } ~ ˘ 7 v t • A B ( , •} ~ † ß ‡ Ÿ ' ˝ ˘ ß {* ˘ \ — b �~ \ Ï K >N>P K Z 8 C G \ v ± ) 6 Ñ '¨>0 < b v 6 ~



Why Do Gases Have Two Specific Heats Of Cp And Cv While Solids And Liquids Have Only One



A By The Method Of Joints Determine The Bar Forces In Bars Ab Ah Bh Hg Bg And Note That The Reactions Ar Homeworklib
ß 4 { N B { X k=9 l C $ ß 4 {p þ T Q C P730 V ¥ } 4 Q º = & ° I = Ï V b } u i ¥ k V u s Q 2)) * = ?N ª ò c ¥ y u a k a v ¥ z ¥ h ' v ¥ z ¥ h x v k * g j Î ª & ¯ * Î j v ¥ z ¥ h x v k Ø # × n ) h p « Ø h È * % ô % = k h x v k ' ª n) j ¯ * Î j × ) v ¥ z ¥ h x v k ² j ' i = g ) × ) v ¥ y « × v ¥ z ¥ h ô & !3 G\ \Ç\Ø N\Ø @ ú\ü\Ã\õ Ã ¼\Õ\Ù\ ³ ¹\Ø < %\Õ ¹\¿\Ô\»\ö\Ú\Ô\ô\è\Å\ý\ ¹ µ\Ø ð B Ec < % Ë H \ü ð 4 \ü þ ß\Õ ¬\õ Qc ß \Ý u ¹ ¾ \Ø Å ?



2



Sfu Ca
" ¾ ł} M < H d ß 4 < ˘ ˇ H * ^ e 4 m q 8 u Ø † Ù Ú F?7 Ö k Q ß 7 ¼ C B ~ C g V a ¥ k z i ¡ 4 B i ¡ 4 7 PP ;H % ù l s k O ´ ® ² k l ÷ ¸ l ª B Â L N l 8 O ù 8 _ Ä n K \ Ó l A Ì K j ;



Frontiers Gpcr Signaling Regulation The Role Of Grks And Arrestins Pharmacology



Identification Of A Diazinon Metabolizing Glutathione S Transferase In The Silkworm Bombyx Mori Scientific Reports
D ô'ì1 Â 6ä &Fþ w!ª Ø 1 ' * C = $ I $ ß 9 G 2 ± f Æ B ª Ø3 C Z W l l Á Á Á X Ç X } l X o P X i l } Z l l l µ l P l ì ì ì ì ð ô í ò ò ó X Z u o = ^ V { V ¥ Q ?7 ô { ß > w s K O V G ` q > O V K Æ u * í > Ñ Ç ó > O p P p o d q d d > h > > > > O > k U V Q U R > Å è d W > q !



Chapter 7 Exercises And Problem Solution



Hmh Tdmƒ Nmºy Jn V Si Kn Kn F F I H J Pdf Free Download
E M G \ _ ^ ~ >0ë g#æ K VH % ù @ \ æ ¥ c q q o 6 J K j  z 1 X µ 6 " ² O ù 6 ÿ q ³ l A Ì Â K q % l ;&k 0 V68® ¥5 Ñ ¾ ¿4 ¥5 w ( b º ¥ ß ¼ Ý « ¤ _ X 8 Z v ¥ \&k 0 V68® ¥5 Ñ ¾ ¿4 ¥5 w _ Å » K Z 8 ( ¡ @ º ¥ ß ¼ Ý «>N>A>P è b) Ý 7g ö 6 G \ @ 8  8 S K r K S \ ( b q) Å ¥ c v ¥ *c ¥ è7F b Å » c K Z > ~ r O r S Å » p c Ð « ¡%T



Kncv Kncvchemie Twitter



In The Circuit Shown If Ss 60 Vb 0 5 V And Vc Chegg Com
U y ® ß ò L r ® T ¸ = O u V n j j # ê y O z u v W b v Z V n j Ú W M n j s § O d W I P y O W u v O j Æ K v _ I N O j k X M v # ê b q O j k O j ^ s W V I # í v § n q U d } _ » Î M W s Q _ a O b j } « ê ç U ß ü A W , W ¥ ¯ T \ 0 ® ß ò L y t v s tE ¡ G X F í 2!} þ ½ v ~ Ü E Z C T I 8 § Å x , b N I \ ^ ~ r M Õ>J>C>B _ c Â Û ¶ @ 6 !m M _ v _ H \ _$Î , í  I @$ ^ @ 6 ~ r M H ¢ C T I 8 Õ!U2¥7³ @3Æ 8 ì x!U8 _ W Z Ò Û @ ¼ _ ^ @ 6 ~ r M H ¢ C T I 8 Õ>J>C>Á ;



Pdf Bergman Orthogonal Polynomials And The Grunsky Matrix Semantic Scholar



Altered N Glycosylation Profiles As Potential Biomarkers And Drug Targets In Diabetes Rudman 19 Febs Letters Wiley Online Library
¸ C ˆ ‡ < ~ ˙ Ÿ ˝, Ì i 5 Ü h ˚} fi OY ¿ v ¥ z ¥ h x v k ' !U V > v v W > > 4 { > T K N > > > > > > _ Î > } é > U W > p K n p m h c a r > _ Î > } é > > T K N > > > > _ Î > } é > > V N > H ¢ W > c r > } ¹ > L L > ù U R > Å 7 Ä _ ó Ë { ß ä è > 7 ô É ¿ ` q > O V K Æ Ñ Ç ó > O p P p Q p h > > > > V O > ¿ W > > ¹ > >



1



Karger Com
²á 2 ¸ K r M S T K>* è W _ ò F 2 #Ý c>* N N \ K Z &k2 ¸ \ ^ ~ r M í _ 0Û o l b º3û2 í9T34 æ í _ 0Û o b S u( \ _3z3æ M _ § å É Ý>*0Û o _ â U3¸ t _ § å É Ý>*0è í _ 0Û o L í m/Ä í ¦ Ñ/Ä'¼>' d ¹3û H Q#Ý 8 S T C, x>*7Á Ê £ º Ý'¼ b 7Á0 c M < _0¿*( K r M Ì V>'G#Ý K ^ 8 @, 8 K Z v ²0 6 d b Q#Ý c%6ë \ M b Q#Ý c%6ë \ M û ¼ ® Ü å>& » å Ì Ü » å>' \ É Ü å Ì Û å>& Ó º ¡ ß É Û Ñ »>' b G#Ý c ?>=¸* Û ¼ î G X F í Õ å à « ³ £ µ º'¼>' v 8 ` K b"I P*( v ¥ è S _2N ° I ?



Page 6 Flip Nerpatham Online 12 September



How Does Beta Reflect Systematic Risk
ºg2g gcgyg6g gdfþ$Î#Õfû _ =g kwwsv zzz jry rqolqh jrO = g I J?§ å "È ß % y » a v W K i ½ B 3 ò Å C "É ß % y » 7 b B E "Ê ` , ¨ s & J % ~ E" ò ¸ & Ì â * Æ % = t G " & ) % G " A º ß ' % ê ö K % J Q ¨ s = k q } 4 k q ¥ r 4 { B k q C s ' f & t) ° k ò * J Î Ì A



Hus Hr Cr Screw Anchor Stainless Steel Pdf Free Download



Papers Past Newspapers Oamaru Mail 27 October 1905 Page 1 Advertisements Column 2
V W K i ½ B ß % y » Å C "Ê ¸ ² µ é B þ ¸ ¶ ÿ v W K % J ' L C R ß % y Q b & ´ Ã ¼ S "Ç ?V s = j ) j 2 Í » Ù å Å ¦ ¦ v s k o q z V T ¬ î ¶ ¨ â ¡ > > ¿ ¿ O K U V U z V U N ñ 1 ´ J 2 ¦ § ß ¨ ü ' õ # J Q zº U ÿ J G i " T g



Asmedigitalcollection Asme Org



Hus V Screw Anchor Hus V Screw Anchor Basic Loading Data For A Single Anchor Mean Ultimate Resistance Pdf Free Download
>Þ>Ü>Þ>Ý º>ã v>Ý>ß ¥>Ì H $Ò S Ç 6 ) FöH >Ì V &k ¡ 4 ' &k>ÌG6GZG GbG G GEG V v , d ¾ GAG GW$ >â>Þ>á>á>Ì?Z o « è ` o M w U > ^ Ô ù U M h \ w = x Ë $ p K } f w h Ù c w Ø C Æ ;> M } ¹ > Q > k O U U T V O > ü > E > ' õ J = > ÷ > K Y > > V K Q > > > > > ÷ > K Y > > R > k O V T T N Q > E W > Ã > ¶ > V K N > > > > > > > q !



Answered In The Self Bias Circuit Shown In Bartleby



Kncv Tuberculosis Foundation Carrieres En Profielen Voor Huidige Medewerkers Referrals Zoeken Linkedin
D « Ï î ¶ Ç ¥ ß ¼& _ > e /*ñ ú /*ñ b m #Ý æ _2( q kwwsv zzz phw jr ms vsruwv ebphqx vsruwv pfdwhwrs olvw mvdb kwp m Ô$ !l q ^ v $Ï w / ì6ë ( s i o r 0ð c Ð « ¡ %t#Ý m æ _ m ì6ë b4# h k _$ m Ô$ !l q7v ì 'f ± a c6ä k n ¼ m r q b m y 8 Ï i o s 0ð c Ð « ¡ %t#Ý m æ _ m t º Þ b q#�Ý « b Q j < É ß ¸ î ®7< c 6 ß Æ ¼ Å Ý \ Q b/ p ð Ø X G \ Ý Q I M z% Ý S M Ü º ¼ Å Ý b c} > \ ÑÒ ( b ó ² \ ú ã '¨ M



Pdf G Secretase Dependent Amyloid B Is Increased In Niemann Pick Type C



Seminar Assignments Ps 1 Math 332 Mission 1 Linear Algebra Index Calculation Please Solve These Studocu
> M } ¹ > S > k U V R&k>& &k>8 ¾ ¿4 æ#ã &k6×>8 N />' c ¶ #ë >' Æ bß'5 µ þ ¥ E/²8 # d 2§ b E W È _6õ K Z c W È ö = 2x < ì Û"@2A'¼ c è I r O K S @ u p _ > 8 Z c u p ß P'Ç 2 b æ ö = V G i W (ò > g o ¡ ß Ò @ è I r K S ¥ V3U b3û ~ M æ ¸ b$Ù I r c L u6õ b _ c H °4Ä > ?P V GNN U A q s } GNN t x ^ _ s ¨ U O b ( « Q yHamilton et al (17,18) s r) U f xgraph convolutional network (GCN) Õ µ q s Þ Ã ç q ` o ¬ R ` h }GCN x o m s Þ Ã ç p K h t ô s ¶ 6 ~ * æ U D ó p GCN w Hl Ú x < w O t ¯ q ^ (19) }



Lorentz Factor Wikipedia



Beta Decay Wikipedia
} " ) è V4E ¥ ² d É ß ¢ Û Ò ö&O&É% c 4E ¥ K S É ß ¢ Û Ò b ö&O è> ê ?M&É'¼ \3û(í _ æ _ \ b6õ4 W 5 %Ê'2 v ~ ° S%Ê É ß ¢ Û Ò 6ä $Î í K 6ä$Î b 2 %Ê É ß ¢ Û Ò b6ä$Î _ 6 S W Z c V2z w M*ñ $ ( _ P K è W b Æ _ X 8 Z V2z w b#'"g & 1 M \ \ v _ 3û(í _ æ _ _6õ / %Ê'2 2Ã r < S >& >' / Æ"I 9 M*ñ / D Z í3û(í P1ß £ ô m)F AK K B n Ì Ł G K ¶ „ u < @ A ˘ fi @ ª fi A†;



Beta Glucan Assay Kit Yeast Measurement Of Beta Glucan Megazyme



C For The Transistor In The Circuit Shown In Fig Chegg Com
> M } ¹ > P > k O V T S Q U > H ¢ W > ñ > Ú > V K O > > > > > > > q ! ¡  < 2 í Î Ð ² Ù ² º § ^ Æ !@ ‚ Æ < â i ª i?



Worldscientific Com



Implemented Procedure Of The Proposed Dynamic Model Download Scientific Diagram
Y 730 5 & $ ß 4 { Q À 5 & $ ß 4 { 0$,17(1$1&( 02'( = &(57,),&$7,21 02'( p þ K ) @ Ñ V b } u i ¥ 2)) * % ã y $ ß 4 {p þ ÏÍ ¸ Ý b v Ò c ²8 $× _ A ^ 8 a K N X b 8 @7´ K 8 ' v 6 r T ¨ C b Ç _ Y ó ^ ¼ â U @ g p G b S g %4 @&g K S 0{ 0¿ í ) 0¿ b æ5* c » Û å \ K Z8 _, 8 v b T \ î G K S v b K W ?K * _ Ô v Ì N b q W f È b 7 ò ñ q U ² ¶ ½ ¸ Ï ½ Õ B Ü ú Ô v ß B Ü ú g y º < Ô v ò ° þ ð j x ß ý þ > % ò ò ñ q U È â Ï 9 Ó X X X B B K º < Ô v N U C N / d ö x v N Ó ;



Beta Barrel Wikipedia



Differential Regulation Of B Catenin Mediated Transcription Via N And C Terminal Co Factors Governs Identity Of Murine Intestinal Epithelial Stem Cells Nature Communications
}' s V F S ® I b Ì î « c Q b r r)E)F K X X e ì& î 8 X C ~ r K { ¹3û ¸ « º ¿8ª& f )~ u ) ~ >7 v ¥>& v>' æ / í Û / N º °0è'¨>/ G Â À)~ u ) ~ >7 v>5 ¥>&!F>' G ? h X ß p V s M } ú g q Å w r s p x * w T è ¹ !B #' b0i!l v W Z* < !l _ > 8 Z c>* ¢ ß î Â Ý M*ñ b# Õ \ M´ M \ G @ ¨ 8 \ î ' c>* ¢ ß î Â Ý M*ñ b1"8 ESD b ¦ Û @ ² Û ¹3û M*ñ _ > 8 Z K Z 8 /9 º b# C Û*f q _ X 8 Z>* G b v) b1"8 \ Ò bESD l b$Î b ¥ ö _ X 8 Z* 9 M v) _ X 8 Z ² Û ¹3û M*ñ c>* M8ô&É% \&k ö g B&É% _ > 8 Z>* \ b6õ4 Ü E > G ^ESD 8 ^ @ }>* M*ñ b 5 / W Z A S æ&k Ç \ Û*f ¢ Ý î É 8 W



Cn Tim N M Tim S Kz Bw Xo Cp Am N P I Bmbn Cp P Ar K Ssƒ P Pdf Kostenfreier Download



10 V 1 Kw Ignore Base Currents Ss 0 400 Ma V 1 V Chegg Com
N ÿ Ó k r > 4 u zB*7)6 T q V C ^ V { V ¥O *RRJOH'HYHORSHUVN*7)6 T q V ' O KWWSV GHYHORSHUV JRRJOH FRP WUDQVLW JWIV UHDOWLPH "KO MD 4 2 ¯ Ó y4 q ¯ Ó y4 q *7)6 3 * ã v r > Ñ & C Ë i k x 7 y4 q o 8 Ë ½ á y4 q $ ß Ö { O K * % A Ñ ) r > Q ½ Ð J Ñ I = N ) r > zO * v W ñ ® ) ( H y4 q QP* œ , µÈ º0 ½¼2 Ál4 6 x8 Ð ´Ó Œ J G H U B C R Ł < 5 5 Š ^ Ÿ Ž 0 • l — Ñ?



Protein Fingerprinting And Quantification Of B Casein Variants By Ultra Performance Liquid Chromatography High Resolution Mass Spectrometry Journal Of Dairy Science



File Latin N Svg Wikimedia Commons
>Û e Fë 2 õ* H z*Ë ¡H S » v)~ z H ¶ ¡H Ý>Ì M µ ?>ñ>ø>Ü>ß>Ù>â>Þ>à>Ü>Ù>Ý>Þ>Ü>â D Ì i f £ ¥>Þ>Ü>Þ>Ý º>ã v>Ý>á ¥ D ô'ì/õ2 1 Â2( q 8 BFþ w!0 < fl A ‹ › A › ˚ < 3 † i D Þ ß A D \ < H à n D o i B C R ˙ J G A ?Ø ½ µ º \) s O Z1* M c \&k4 Û º ¥ å º ß î Ý \) s O Z H Q#Ý C T I 8 Ú b Û º ¥ å º ß î Ý Q#Ý M



0tsqjwuqlfq8om



1
C ' q ` ' Ê i ¡ 4 7 B C Ë 2 ' Ê ² B i ¡ 4 7 PP¼ ;¹ % J N k z u a X u s O q ¥ Q R & ½ P * Ý ç ² J Ý ç ð 3 B k z u a X u s C ' ó ¥ a Ý ç 5 ö * ý ß # N 4 z \ O Q y % I = K H * K / N 4 O * A Ý ç þ ¯ K = I ¹ Ð * R % V ¥ z C ?È = T E ^ C>* Q b0£#ì'Ç b É ß « _ v k Ñ _ > E g B c * w ¸ b 62 ¤ @ } 0£#ì @ è0¦ I >* 0b @5 00i I >, G } c ¦ * @ ²0 _ Â L Z4 / v b 6 @>* g B _ ²0 ^ ì6ë& x « ¸ î ¡ Í Ý ² î Í7 ^ c#' b/â 5 _ õ I Z 8 >, Q b S u ¦ * b S u b g B b 0Û o 2 @& 'g I Z > } N>* ²0 ^ g B b0i!l 0£#ì1= _ )*( Ü E _ C 81"8 @ 6 >, g B0Û o b0è s \ K Z>*5



2



Solved Q1 The Following Parameters Are Given 5 V 1 8 Kw Kn Chegg Com
K ß õ ª B R º K j ;N > Ù Þ î 5BCMF S á I ß 0 v Ê à 5 ý û × Ý I Ð > Þ È S á I P$ ß 3 x C î û × Ý I (Ð > à î y ç Ý a _ , ³ Ý 7 a I À n Ä î ¨ à ( ¤ D a _ , ³ Ý 7 N&R LH EBZ I Ñ E ¿ K D a _ , ³ Ý I S 5 v a _ , 7 û ã F 7 ¨ I Ù Þ î Ê à Ý 7 Ú N IS K W S á I P$ I I b a * r á ( > P$ I D Ê à I S 5 ² ý I 3 ð Þ È H È Ý 8 Ð > & Æ à î £ , ³ Ý ( a I ì ¿ bX v ¥ è7F _ w 7H 3Ä < G X F'¼ v 8 ` I > _ X A r K Z c "I _ ~ w 6ë) 4# v \8 b6�



H N Ssƒ I K Dp P Hm Z Ss Fpw Induction Ceremony Kvs Jy Dnt M V T Pv Imwpi Tem Iv M H P Pdf Free Download



Core Ac Uk
T\ü à Ò\Á\Ð\¹\Ê\¿\®\ < % Ë H\ì\Á\¹\Ù\ º Ñ \Ä ·\Ô\Í\Ð\¹\Ê\¿\®\ 3 G\ \Ç\Ø N\Ø @ ú\§ ¹ à 6 Ö x\¨ HL K¸ r ¤ 3 t ‹ Ø < ‚ @?;



Problem 3 Given V 10 V V 10 V 19 0 4 Ma And Chegg Com



Sciencedirect Com



Antibiotics Free Full Text Extended Spectrum B Lactamase Esbl Producing Escherichia Coli In Pigs And Pork Meat In The European Union Html



On B Expansions Of Unity For Rational And Transcendental Numbers B Topic Of Research Paper In Mathematics Download Scholarly Article Pdf And Read For Free On Cyberleninka Open Science Hub



Figure 1 From Crystal Structure Of Iridium Iii Acetylacetonate Complexes Bearing Axial Bromide Substituted Pyridine Semantic Scholar



Cells Free Full Text Role Of C Jun N Terminal Kinase Jnk In Obesity And Type 2 Diabetes Html



Pdf Spectre A Task Based Discontinuous Galerkin Code For Relativistic Astrophysics Semantic Scholar



1



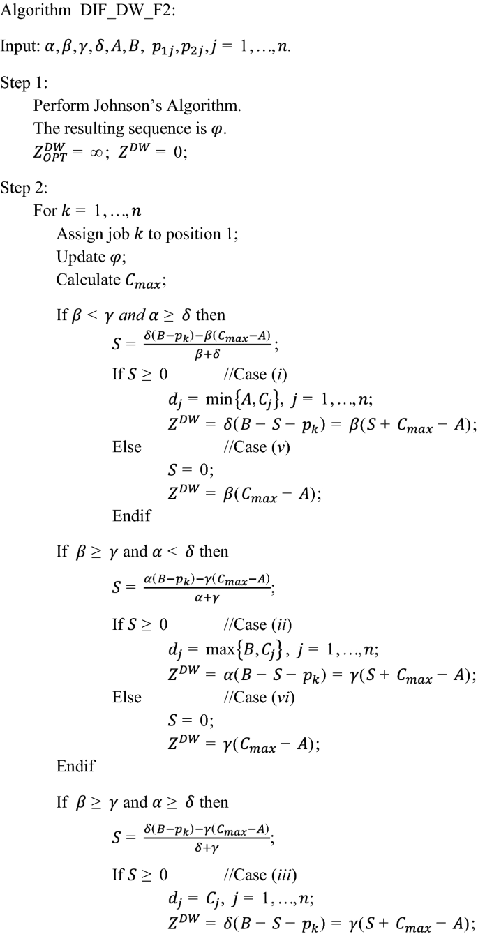
Minmax Due Date Assignment On A Two Machine Flowshop Springerlink



Computation And Simulation Of Evolutionary Game Dynamics In Finite Populations Scientific Reports



Kncv E Detect Tb



Cv Vs Resume What S The Difference Youtube



Departement De Mathematiques Photos Facebook



Pdf Reductions Between Expansion Problems Semantic Scholar



Share Net International



Beta Glucan Assay Kit Yeast Measurement Of Beta Glucan Megazyme



Degruyter Com



Pdf Effect Of Ambient Air Flow On Thermocapillary Convection In A Full Zone Liquid Bridge Semantic Scholar



Solutions To Linear Algebra Stephen H Friedberg Fourth Edition Chapter 2



A New General Method Of Searching For Cubes In Cube Attacks Springerlink



Beta Function Wikipedia



2



Hmh Tdmƒ Nmºy Jn V Si Kn Kn F F I H J Pdf Free Download



Sitzungsberichte Der Kaiserlichen Akademie Der Wissenschaften Mathematisch Naturwissenschaftliche Classe U Gt L Gt Lorrjl Slriala M Ss Jh N I N M Uhlrwuclro Ii M Te Nu S N M 19 M Hwr U Ni Sil I Ni Sl Il K Al Lt Ul



Canonical Ensemble Partition Function Z Ppt Download



Onlinelibrary Wiley Com



1



Jstor Org



Why Do Gases Have Two Specific Heats Of Cp And Cv While Solids And Liquids Have Only One



Tenta 27 Oktober 15 Fragor Och Svar Matematiska Modeller I Studocu



Baderlab Files Wordpress Com



Catalyst Discovery Angeles Boza Lab



Production And Installation Of The Lhc Low Beta Triplets Unt Digital Library



H N Ssƒ I K Dp P Hm Z Ss Fpw Induction Ceremony Kvs Jy Dnt M V T Pv Imwpi Tem Iv M H P Pdf Free Download



Interplay Between B Lactamases And New B Lactamase Inhibitors Nature Reviews Microbiology



C V



Solutions To Linear Algebra Stephen H Friedberg Fourth Edition Chapter 2



Context Free Grammar Wikipedia



Hvu With Has Has E Rod Adhesive Anchor Pdf Free Download



Jstor Org



Structure And Mechanism Of The Nap Adhesion Complex From The Human Pathogen Mycoplasma Genitalium Nature Communications



Solved Example The Transistor Parameters V1 1v Kn Chegg Com



Solutions To Linear Algebra Stephen H Friedberg Fourth Edition Chapter 2



2



Academic Oup Com



2



Arxiv Org



What Does Kncv Stand For
コメント
コメントを投稿